Por ing. Hernán Hernández
[cap]En esta ocasión hablaremos de la ley de Ohm, la cual se compone de al menos tres conceptos que son fenómenos físicos: resistencia, tensión y corriente. Como bien sabemos los cuerpos están constituidos por átomos que -a su vez- poseen partículas con cargas negativas y positivas que son los electrones y protones. En algunos cuerpos (por ejemplo, los metales), los electrones de las órbitas más lejanas no permanecen unidos a sus respectivos núcleos y adquieren mayor libertad de movimiento en el interior del cuerpo. A estas partículas se les denomina electrones libres.[/cap]
En los materiales que poseen una gran cantidad de átomos con electrones libres es posible que la carga eléctrica sea transportada con gran facilidad a través de ellos y por lo tanto se consideran como buenos conductores de la electricidad.
Un conductor eléctrico es entonces un material que permite el paso de la corriente eléctrica a través de ellos. Los mejores materiales conductores son los metales como cobre, oro, plata, aluminio, etcétera. Existen otros materiales en los cuales los electrones están firmemente unidos a sus respectivos átomos, por lo tanto, estos materiales no poseen electrones libres o es muy pequeño el número de ellos. En este tipo de materiales no es posible el desplazamiento de la carga eléctrica, por lo tanto, se dice que son aislantes debido a su baja capacidad de conducción. Ejemplos de materiales aislantes son el plástico, la madera, el papel, el hule y sus derivados, entre otros.
Sin embargo, en la naturaleza no solo existen conductores y aislantes, también hay semiconductores que son materiales que se comportan como conductores o como aislantes, dependiendo de la temperatura del ambiente en el que se encuentren. Los elementos semiconductores más usados son el silicio y el germanio.
El flujo de corriente en amperes que circula por un circuito eléctrico cerrado es directamente proporcional a la tensión o voltaje aplicado, e inversamente proporcional a la resistencia en Ohms de la carga que tiene conectada:
George Simon Ohm.
Parámetros eléctricos
Los materiales poseen características físicas determinadas por su longitud y área; también por la temperatura a la que están expuestos y por el tipo de material. Todo esto le da a un material la característica de resistencia. ¿Cómo se obtiene esta característica como parámetro eléctrico? Para responder lo anterior se asocian todas las características en una ecuación para obtener la resistencia:

Donde:
R= resistencia [Ω]
L= longitud del conductor [m]
A= Área [mm2]
ρ = resistividad del material
A manera de ejemplo determinaremos la resistencia de un conductor de plata de 15 m y un área de 2.08 mm2, para esto la resistividad ρ es 0.005 Ω mm2/m.

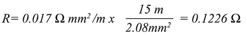
Veamos otro ejemplo determinando la resistencia de un conductor de cobre de las mismas características, pero con una resistividad correspondiente a este tipo de material de 0.017 Ω mm2/m.

Como puedes ver, la resistencia del cobre es mayor a la de la plata, siendo este último uno de los mejores materiales conductores eléctricos que existen; sin embargo, por su elevado costo, se utiliza sólo como recubrimiento de algunas terminales, como las mordazas internas de contactos tipo pesado y extra pesado.
Esta característica de resistencia se puede concebir de igual forma como un artefacto eléctrico de consumo como una plancha.
Regresando al tema de ley de Ohm, el otro parámetro eléctrico es la tensión también conocida como diferencia de potencial. En sí la tensión eléctrica es la fuerza producida por un campo eléctrico sobre una carga que la hace desplazarse desde un punto a otro.
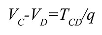
Cuando se presenta este desplazamiento, la fuerza eléctrica estará realizando un trabajo que se puede describir como TCD y representa la cantidad de energía que la fuerza eléctrica F transfiere a la carga q en su desplazamiento desde C hasta D.
Una cantidad eléctrica relacionada con este trabajo, se denomina como la diferencia de potencial entre los puntos C y D y se puede representar por VC-VD y se define por la relación:

Donde.
VC-VD es la diferencia de potencial entre los puntos C y D en Volts.
TCD es el trabajo debido al desplazamiento de C a D en Joules.
q es la carga desplazada en Coulombs.
A la diferencia de potencial eléctrico se denomina tensión eléctrica entre dos puntos, o voltaje como se le conoce de forma coloquial, y se representa VCD o sencillamente V.
En el S.I. la unidad del Trabajo es el “Joule”, mientras que la carga tiene unidades de Coulomb. Por lo que:

La ley de Ohm recibe este nombre en honor del físico matemático de origen alemán George Simon Ohm.
Por último, la corriente o intensidad de corriente es la cantidad de carga Q que pasa por un conductor de sección determinada en un lapso de tiempo. Dicho en términos matemáticos es:

Donde:
i es la intensidad de corriente [Amperes]
Q es la cantidad de cargas [Coulombs]
t es el tiempo [segundos]
Esta relación se puede expresar simplemente como I=Q/t
En un circuito eléctrico simple se pueden encontrar estos tres parámetros eléctricos, el análisis dependerá si la fuente de alimentación que suministra la tensión eléctrica es en corriente directa o en corriente alterna.
Para el caso de corriente alterna se puede realizar un análisis aproximado considerando una condición instantánea; es decir como si fuera una fotografía de lo que ocurre en el circuito para no usar ecuaciones diferenciales que precisamente nos permite analizar variables en el tiempo.
De esta forma la Ley de Ohm se puede conceptualizar a través de un circuito eléctrico simple como el siguiente.

Podemos sintetizar que hay un flujo de carga por el conductor y la resistencia R en un intervalo de tiempo debidas a la fuente V; es decir una corriente resultante o
I=V/R
Donde:
I es la intensidad de corriente en Amperes [A]
V es la diferencia de potencial, tensión eléctrica o voltaje en volts [V]
R es la resistencia del material o bien la de una carga de consumo eléctrico en Ohms [Ω]
Con esta fórmula podrás calcular en un circuito una magnitud a partir de las otras dos. Para calcular la intensidad, aplicas directamente la ecuación anterior. Pero si lo que buscas es calcular el voltaje, debes despejar la fórmula, pasando R al otro lado de la igualdad multiplicándola por I. La expresión queda así:
V= I . R
Por otro lado, si quieres calcular R, debes pasar la I que está multiplicando al otro lado de la igualdad dividiendo.
R = V / I
Esperamos que esta información sea de tu interés. Si quieres profundizar en el tema te recomendamos consultar libros de electricidad básica.




Agradezco la información que nos brindan saludos
Saludos compañero
Buenos días, excelente explicación, didáctica, simple y básicamente entendible a todo nivel. Muchas gracias por este aporte y felicitaciones. Saludos cordiales.
Un gusto tenerte como nuestro lector Agustín. Saludos.
Me interesa la revista dondela puedo conseguir, gracias y buen dia
Saludos Juan, la revista está en un proceso de digitalización. En cuanto salga un nuevo número lo publicaremos en esta página. También lo invitamos a formar parte de neustra comunidad en Facebook http://www.facebook.com/RevistaElectrica
Excelente toxo
Excelente muy interesante gracias
Me gustaria que comentaran un poco mas sobre el magnetismo y sus propiedades a futuro gracias
Gracias por tu sugerencia Gabriel, la tomaremos en cuenta para futuras ediciones.¡Saludos!
Muy didáctico, felicitaciones. Buena información. Espero que sigan con más información. Saludos
Hola Americo, claro que continuaremos desarrollando más temas que sean de su interés. ¡Saludos!
Excelente revista
Saludos estimado Luis.
Saludos desde Texcoco de Mora Estado de México, he sido lector de su revista desde del numero uno, las cuales aun conservo, sin embargo he dejado de recibirlas desde hace bastaste tiempo me interesaría saber si existe algún inconveniente de mi parte, para ya no recibirla.
ya que es una publicación demasiada interesante para actualizar nuestros conocimientos y actualizaciones en la materia. agradezco la atención al presente y les deseo que sigan teniendo el exito que a este momento tienen
Estimado Mario, para poder recibirla de nuevo por favor actualiza tus datos a través de este link https://electrica.mx/reldemo/actualiza-tus-datos/ Te enviamos saludos de parte de todo el equipo de revista Eléctrica.
Felicitaciones por su éxito en los productos poliflex..así como la revista que colecciono con mucho interés. .pues los temas son muy interesantes y también me encanta la sección de tipo.
Mucho éxito en este nuevo año.
Saludos a todos los que hacen posible todo esto
Hola Enrique, un gusto que seas uno de nuestros lectores. Gracias por tus comentarios y recibe de parte de todo el equipo nuestros mejores deseos para este 2019.